Vláda schválila veľké zmeny, novinkou je režim OP+, niekde ti nepostačia ani dve dávky
- Vláda v reakci na nový variant koronavírusu omikron schválila nové opatrenia
- COVID automat bude minulosťou, pravidlá budú platiť na celonárodnej úrovni
- Vytvára sa nový režim OP+, obmedzujú sa aj otváracie hodiny prevádzok a služieb
- Vláda v reakci na nový variant koronavírusu omikron schválila nové opatrenia
- COVID automat bude minulosťou, pravidlá budú platiť na celonárodnej úrovni
- Vytvára sa nový režim OP+, obmedzujú sa aj otváracie hodiny prevádzok a služieb
Od 19. januára 2022 platia nové pravidlá, schválila ich na dnešnom rokovaní vláda. COVID automat, ktorý rozdeľoval okresy farebne podľa pandemickej situácie v nich, bude minulosťou. Pravidlá budú platiť pre celú krajinu.
Ako sa uvádza vo vládnom materiáli, tieto pravidlá majú ostať platné maximálne štyri týždne po vrchole omikron vlny. Vláda taktiež ruší zákaz zhromažďovania, informuje TASR.
Najväčšou zmenou je zavedenie režimu OP+, ten bude platný pri vysoko rizikových hromadných podujatiach. Zmení sa však aj definícia v režime OP. Doposiaľ do režimu OP spadali ľudia, ktorí prekonali ochorenie COVID-19 v ostatných 180 dňoch, po novom doň budú spadať len osoby po prekonaní COVID-19 potvrdeného RT-PCR2 nie staršom ako 90 dní.
Od 1. februára 2022 sa skráti aj čas statusu zaočkovanej osoby, po novom bude uznávaná lehota 9 mesiacov, nie 12.
Kto spĺňa základ, OTP, OP a OP+?
Základ
Do režimu základ spadajú všetci bez ohľadu na očkovanie, prekonanie ochorenia COVID-19 či výsledok testovania.
OTP
Pod pojmom OTP sa myslia osoby, ktoré sú kompletne zaočkované, prekonali COVID-19 v ostatných 90 dňoch alebo sú testované (buď PCR test nie starší ako 72 hodín, alebo antigénový test nie starší ako 48 hodín).
OP
Režim OP spĺňajú „kompletne zaočkované osoby po dobu 9 mesiacov od ukončenia základnej očkovacej schémy, resp. od ostatnej ‚booster’ dávky, osoby po prekonaní COVID-19 viac ako 180 dní + jedna dávka vakcíny (ak vakcína bola podaná do 180 dní od prekonania potvrdeného RT-PCR) po dobu 9 mesiacov od prekonania COVID-19, osoby po prekonaní COVID-19 potvrdeného RT-PCR nie staršom ako 90 dní“.
Zároveň do OP spadajú deti mladšie ako 12 rokov a kontraindikované osoby na základe jednotného formuláru s výsledkom testu (od odberu PCR 72 hodín, Ag 48 hodín).
OP+
Podľa vládneho materiálu do režimu OP+ spadajú ľudia, ktorí spĺňajú definíciu OP a zároveň sú testovaní (od odberu PCR 72 hodín, Ag 48 hodín) alebo dostali booster dávku, prípadne majú kompletné očkovanie + prekonanie ochorenia COVID-19 nie staršie ako 180 dní.
Do režimu OP+ ďalej spadajú deti, ktoré majú 2 až 12 rokov a 2 mesiace a preukážu sa negatívnym výsledkom testu (buď testom PCR/LAMP nie starším ako 72 hodín, alebo antigénovým testom nie starším ako 48 hodín). Ďalej doň patria deti vo veku 12 rokov a 2 mesiace až 18 rokov, ktoré sú kompletne zaočkované a sú zároveň testované (48h Ag, 72h PCR/LAMP).
Čo nás od budúcej stredy čaká?
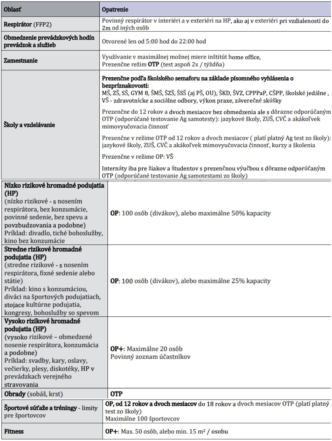
Prevádzkové hodiny prevádzok a služieb budú od 19. januára 2022 vymedzené na čas od 5.00 do 22.00 hodiny, vyplýva to z vládneho materiálu.
V zamestnaní aj naďalej platí režim OTP, testovať sa má aspoň dvakrát do týždňa. Obrady, akými sú sobáš a krst, budú v režime OTP.
Hromadné podujatia budú rozdelené na tri kategórie. Podľa ich rizikovosti budú pre organizátorov a účastníkov platiť rozdielne kapacitné obmedzenia súvisiace s pandémiou ochorenia COVID-19.
Pri nízko rizikových podujatiach, ktorými sú označené také, kde je nosenie respirátora a sedenie povinné, zároveň nie je povolená konzumácia jedla či nápojov, spev či povzbudzovanie účastníkov, je maximálna kapacita určená na 100 osôb, respektíve maximálne 50 % kapacity priestoru.
V rámci stredne rizikových podujatí, kde je povinné nosenie respirátora a fixné sedenie či státie, sa počet účastníkov obmedzí na 100 osôb alebo maximálne 25 % kapacity priestoru.
Pri vysoko rizikových podujatiach, kde je nosenie respirátora obmedzené a je povolená konzumácia a podobne, je maximálna kapacita určená na 20 osôb, pričom zoznam účastníkov je povinný. Ide najmä o svadby, kary, oslavy, večierky, plesy či diskotéky.
Nízko a stredne rizikové podujatia budú v režime OP, vysoko rizikové podujatia v režime OP+.

Čítaj viac z kategórie: Politika
Zdroje: Rokovanie vlády, TASR, SITA